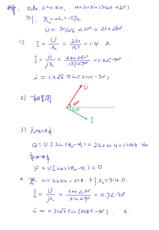
已知一电感元件L=0.5H,加在它两端的电压为u=311sin(314t+60°)V,试求:1,计算I和Í并写出电流瞬时值i的表达式2,做出相量图3,计算无功功率和有功功率4,若电压
问题描述:
已知一电感元件L=0.5H,加在它两端的电压为u=311sin(314t+60°)V,试求:1,计算I和i并写出电流瞬时值i的表达式2,做出相量图
3,计算无功功率和有功功率
4,若电压频率增大1倍,写出电流的瞬时值表达式
最佳答案: 
版权声明
声明:有的资源均来自网络转载,版权归原作者所有,如有侵犯到您的权益
请联系本站我们将配合处理!
