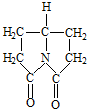
普拉西坦是一种改善记忆、抗健忘的中枢神经兴奋药,其结构如图,下列关于普拉西坦的说法正确的是()A.它既有酸性,又有碱性B.它的二氯取代物有两种C.它可以发生水解反应D.
问题描述:
普拉西坦是一种改善记忆、抗健忘的中枢神经兴奋药,其结构如图,下列关于普拉西坦的说法正确的是( )A.它既有酸性,又有碱性
B.它的二氯取代物有两种
C.它可以发生水解反应
D.分子中C、N、O原子均处于同一平面
最佳答案: A.分子中不含羧基,不具有酸性,故A错误;B.两个氯原子可以在相同的碳原子上,也可以在不同的碳原子上,在相同碳原子有2种不同的位置,在不同的碳原子有6种不同的位置,则二氯取代物8种,故B错误;C.含有肽键,可...
版权声明
声明:有的资源均来自网络转载,版权归原作者所有,如有侵犯到您的权益
请联系本站我们将配合处理!
