某探究学习小组的同学要验证“牛顿第二定律”,他们在实验室组装了一套如图甲所示的装置,水平轨道上安装两个光电门,小车上固定有力传感器和档光片,细线一端与力传感器连接,另一端跨过定滑轮挂上砝码盘。实验时,
某探究学习小组的同学要验证“牛顿第二定律”,他们在实验室组装了一套如图甲所示的装置,水平轨道上安装两个光电门,小车上固定有力传感器和档光片,细线一端与力传感器连接,另一端跨过定滑轮挂上砝码盘。实验时,调整轨道的倾角正好能平衡小车所受的摩擦力,传感器示数为传感器右端细线对它的拉力。(图中未画出)

(1)该实验中小车所受的合力_____(填“等于”或“不等于”)力传感器(质量不计)的示数,该实验_____(填“需要”或“不需要”)满足砝码和砝码盘的总质量远小于小车的质量。
(2)实验需用游标卡尺测量挡光片的宽度d,如图乙所示,
_____
。若实验中没有现成的挡光片,某同学用一宽度为
的金属片替代,这种做法______(填“合理”或“不合理”)。

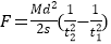
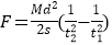
(3)实验获得以下测量数据:小车和挡光片的总质量M,挡光片的宽度d,光电门1和2的中心距离s。某次实验过程测量的数据:力传感器的读数为F,小车通过光电门1和2的挡光时间分别为
、
(小车通过广电门2后,砝码盘才落地),则该实验要验证的式子是___________。
(1)等于;不需要;(2)7.35;不合理;(3)
(1)由于装有力传感器,小车所受拉力大小可以从传感器读取,故本实验不需要满足砝码和盘总质量远小于小车总质量,且由于实验前已经通过倾斜滑板平衡摩擦力,故小车所受到的合力等于传感器受到的拉力;
(2)由图示游标卡尺可知,挡光板的宽度:
.实验时把小车经过挡光片时的平均速度作为小车的瞬时速度,挡光片的宽度越窄,小车经过挡光片时的平均速度越接近小车的瞬时速度,挡光片的宽度越大,小车的速度误差越大,不能用
的金属片替代挡光片。
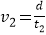
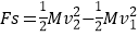
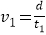
(3)由于光电门的宽度
很小,所以我们用很短时间内的平均速度代替瞬时速度,滑块通过光电门1速度为:
,滑块通过光电门2速度为:
,根据功能关系需要验证的关系式为:
,即:
。
版权声明
声明:有的资源均来自网络转载,版权归原作者所有,如有侵犯到您的权益
请联系本站我们将配合处理!
