汽车更换轮胎时需要把车轴抬起来,这时可以使用“油压千斤顶”。下图是油压千斤顶的原理图。向下按动手柄,圆柱形小活塞把小油缸中的机油压向大油缸。大油缸中的油量增多,把圆柱
问题描述:
汽车更换轮胎时需要把车轴抬起来,这时可以使用“油压千斤顶”。下图是油压千斤顶的原理图。向下按动手柄,圆柱形小活塞把小油缸中的机油压向大油缸。大油缸中的油量增多,把圆柱形大活塞向上推,带着上面的重物上升。实际表明,加在密闭的液体上的压强,能够按照原来的大小向各个方向传递(这个规律叫做帕斯卡定律)。现在有一个油压千斤顶,有关尺寸如图所示。如果希望在手柄上用20N的力向下压时就能在大活塞上举起1t的重物,大活塞的直径至少是多少?
____
最佳答案: 【分析】该装置可看成两个简单机械的组合,一个是由手柄构成的杠杆;另一个就是由不同直径相互连通、装满液体的两上油缸组成的液压机。根据杠杆原理可求出手柄上的力和小油缸上所受压力的关系,根据帕斯卡定律可求出大油缸和小油缸上力的关系,从而求出所要求的物理量。
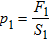
1、解法1:设杠杆的动力臂为
,动力为
,杠杆加在小油缸上的力为
,其力臂
,小油缸上的压强
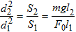
,面积为
,大油缸上的压强为
,压力为
,面积为
。根据杠杆的平衡条件有
则
①由压强公式有
②
③其中
④根据帕斯卡定律
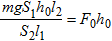
⑤将①、②、③、④代入⑤得
考虑到
进一步解出
把数值代入,得
cm答:大活塞的直径至少为7cm。
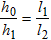
解法2:该题也可以用功的原理来求解。根据杠杆的特点,有手柄处向下压的距离
与小活塞下降的距离
的关系是
因为液体体积不变,所以大活塞上升的距离
与小活塞下降的距离
的关系是
得
又根据功的原理有
所以
得
又
,
,则有
cm答:大活塞的直径至少是7cm。
【点评】将复杂的实际问题转化物理模型是解题的关键。应理清楚这里而涉及到的模型:杠杆和连通器,再根据各自的工作原理进行分析求解。解法2的优点:它巧妙地利用功的原理,将其中的受力关系和压强关系转化为更直观的距离关系。
版权声明
声明:有的资源均来自网络转载,版权归原作者所有,如有侵犯到您的权益
请联系本站我们将配合处理!
上一篇 : 一个正方体的棱长是5厘米,它的表面积是
下一篇 :圆柱的底面周长怎么求,要公式
