月球上的g值约为地球上的。在地球上一个物体浮在一杯水中时,有的体积露出水面,如果将水杯及所浮物体一起搬到月球上去,那么这个物体:A仍有的体积露出水面,但所受浮力减小B仍有
问题描述:
月球上的g值约为地球上的
。在地球上一个物体浮在一杯水中时,有
的体积露出水面,如果将水杯及所浮物体一起搬到月球上去,那么这个物体:
最佳答案: 【分析】设物体体积为V,在地球上所受重力为G,当它漂浮在水中时,有
的体积露出水面,则根据漂浮条件和阿基米德原理有
。即
。当将水杯及所浮物体一起搬到月球上去时,由于月球上的
,故物体所受重力
。当物体仍漂浮在水面上时,有
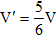
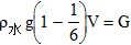
。所以,物体所受的浮力变小了。设物体漂浮时,排开水的体积为
,根据阿基米德原理
,
。解得
。即说明,在月球上物体排开水的体积跟在地球上一样。物体露出液面的体积也为自身体积的
。本题答案为A。【点评】本题考查阿基米德原理的应用能力。阿基米德原理在地球上和在月球上都是适用的,所以漂浮在水面上的物体,在地球和在月球上,浸在水中的体积是不变的。
版权声明
声明:有的资源均来自网络转载,版权归原作者所有,如有侵犯到您的权益
请联系本站我们将配合处理!
