0991《机电一体化系统设计基础》_02任务_0006【参考答案】
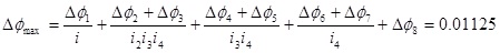
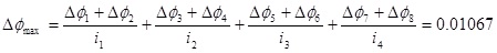
| 一、判断题(共 10 道试题,共 40 分。) 1. 通常,步进电机的最高连续工作频率远大于它的最高启动频率。( ) A. 错误 B. 正确 2. 直流伺服电动机和永磁同步交流伺服电动机都可以采用PWM控制方式进行调速控制。( ) A. 错误 B. 正确 3. 对直流伺服电动机来说,其机械特性越硬越好。( ) A. 错误 B. 正确 4. 气压式伺服驱动系统常用在定位精度较高的场合使用。( ) A. 错误 B. 正确 5. 直流伺服电动机的机械特性是电机转速与其控制电压的关系。( ) A. 错误 B. 正确 6. 永磁型步进电动机即使其定子绕组断电也能保持一定转矩,故具有记忆能力,可用于定位驱动。( ) A. 错误 B. 正确 7. 传感器的静态特性是特指输入量为常量时,传感器的输出与输入之间的关系。( ) A. 错误 B. 正确 8. 选择传感器时,应选用精度尽可能高的传感器。( ) A. 错误 B. 正确 9. 驱动部分在控制信息作用下提供动力,伺服驱动包括电动、气动、液压等各种类型的驱动装置。( ) A. 错误 B. 正确 10. 步进电机的步距角决定了系统的最小位移,步距角越小,位移的控制精度越低。( ) A. 错误 B. 正确 二、单项选择题(共 10 道试题,共 40 分。) 1. 步进电机转动后,其输出转矩随着工作频率增高而( )。 A. 上升 B. 下降 C. 不变 D. 前三种情况都有可能 2. 步进电机转角的精确控制是通过控制输入脉冲的( )来实现的。 A. 频率 B. 数量 C. 步距角 D. 通电顺序 3. 在开环控制系统中,常用( )做驱动元件。 A. 直流伺服电动机 B. 步进电动机 C. 同步交流伺服电动机 D. 异步交流伺服电动机 4. 受控变量是机械运动的一种反馈控制系统称( ) 。 A. 顺序控制系统 B. 伺服系统 C. 数控机床 D. 工业机器人 5. 有一脉冲电源,通过环形分配器将脉冲分配给五相十拍通电的步进电机定子励磁绕组,已知转子有24个齿,步进电机的步距角是( )。 A. 0.6° B. 1.2° C. 1.5° D. 2° 6. 某种型号的步进电机有A、B、C三对磁极,采用( )的顺序进行循环通电是三相双三拍通电方式。 A. A→B→C B. AB→BC→CA C. A→AB→B→BC→C→CA D. A→ABC→B→ABC→C→ABC 7. 采用脉宽调制进行直流电动机调速驱动时,通过改变( )来改变电枢回路的平均电压,从而实现直流电动机的平滑调速。 A. 脉冲的宽度 B. 脉冲的频率 C. 脉冲的正负 D. 其他参数 8. 对同一种步进电机,三相单三拍的步距角是三相六拍的( )倍。 A. 0.5 B. 1 C. 2 D. 3 9. 光栅传感器的光栅是在一块长条形的光学玻璃上密集等间距平行的刻线,刻线数为100线/mm,此光栅传感器测量分辨率是( )mm。 A. 1 B. 0.1 C. 0.01 D. 0.001 10. 光栅传感器的光栅是在一块长条形的光学玻璃上密集等间距平行的刻线,刻线数为100线/mm,经四倍细分后,记数脉冲为400,光栅位移是( )mm。 A. 1 B. 2 C. 3 D. 4 三、计算题(共 3 道试题,共 20 分。) 1.某线性位移测量仪,当被测位移由4.5mm变到5.0mm时,位移测量仪的输出电压由3.5v减至2.5v,求该仪器的灵敏度为( )V/mm。 解:A.S=y/x=2.5/5.0=0.5 B.S=y/x=3.5/4.5=0.778 C.S=dy/dx=(2.5-3.5)/(5.0-4.5)=-2 D.S=dy/dx=(5.0-4.5)/(3.5-2.5) =0.5 2. 已知某四级齿轮传动系统,各齿轮的转角误差为Δφ1=Δφ2=…=Δφ8=0.004弧度,各级减速比相同,即i1 = i2 = i3= i4 =3,求该系统的最大转角误差Δφmax=( )弧度。 解: A. B. C. 3.刻线为1024的增量式角编码器安装在机床的丝杠转轴上,已知丝杠的螺距为2mm,编码器在10秒内输出307200个脉冲,试求刀架的位移量和丝杠的转速分别是多少? 解:(1)刀架的位移量为( )mm。(5分) A.307200÷1024=300 B.307200÷1024÷2=150 C.307200÷1024×2=600 (2)丝杠的转速转速为( )转/秒。(5分) A.300÷10=30 B.300×10=3000 C.150×10=1500 D.600÷10=60 |
版权声明
声明:有的资源均来自网络转载,版权归原作者所有,如有侵犯到您的权益
请联系本站我们将配合处理!
