0991《机电一体化系统设计基础》_02任务_0005【参考答案】
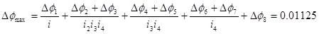
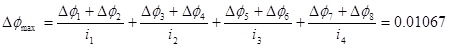
| 一、判断题(共 10 道试题,共 40 分。) 1. 脉冲分配器的作用是使步进电动机绕组的通电顺序按一定规律变化。( ) A. 错误 B. 正确 2. 通常,步进电机的最高连续工作频率远大于它的最高启动频率。( ) A. 错误 B. 正确 3. 伺服电机的驱动电路就是将控制信号转换为功率信号,为电机提供电能的控制装置,也称其为变流器,它包括电压、电流、频率、波形和相数的变换。( ) A. 错误 B. 正确 4. 传感器的静态特性是特指输入量为常量时,传感器的输出与输入之间的关系。( ) A. 错误 B. 正确 5. 直流伺服电动机和永磁同步交流伺服电动机都可以采用PWM控制方式进行调速控制。( ) A. 错误 B. 正确 6. 气压式伺服驱动系统常用在定位精度较高的场合使用。( ) A. 错误 B. 正确 7. 传感器在使用前、使用中或修理后,必须对其主要技术指标标定或校准,以确保传感器的性能指标达到要求。( ) A. 错误 B. 正确 8. 对直流伺服电动机来说,其机械特性越硬越好。( ) A. 错误 B. 正确 9. 迟滞是传感器的一种动态误差,是由于在传感器的正反行程中的输出输入特性曲线不重合引起的。( ) A. 错误 B. 正确 10. 驱动部分在控制信息作用下提供动力,伺服驱动包括电动、气动、液压等各种类型的驱动装置。( ) A. 错误 B. 正确 二、单项选择题(共 10 道试题,共 40 分。) 1. 下列哪个不是传感器的动特性( )。 A. 幅频特性 B. 临界频率 C. 相频特性 D. 分辨率 2. 检测装置能够对输出进行测量,并转换成比较环节所需要的量纲,一般包括传感器和( )。 A. 控制电路 B. 转换电路 C. 放大电路 D. 逆变电路 3. 受控变量是机械运动的一种反馈控制系统称( ) 。 A. 顺序控制系统 B. 伺服系统 C. 数控机床 D. 工业机器人 4. 采用脉宽调制进行直流电动机调速驱动时,通过改变( )来改变电枢回路的平均电压,从而实现直流电动机的平滑调速。 A. 脉冲的宽度 B. 脉冲的频率 C. 脉冲的正负 D. 其他参数 5. 有一脉冲电源,通过环形分配器将脉冲分配给五相十拍通电的步进电机定子励磁绕组,已知转子有24个齿,步进电机的步距角是( )。 A. 0.6° B. 1.2° C. 1.5° D. 2° 6. 下列哪项指标是传感器的动特性( )。 A. 量程 B. 线性度 C. 灵敏度 D. 幅频特性 7. 伺服控制系统一般包括控制器、功率放大器、执行机构和( )四个部分。 A. 换向结构 B. 转换电路 C. 存储电路 D. 检测装置 8. 步进电机转角的精确控制是通过控制输入脉冲的( )来实现的。 A. 频率 B. 数量 C. 步距角 D. 通电顺序 9. 光栅传感器的光栅是在一块长条形的光学玻璃上密集等间距平行的刻线,刻线数为100线/mm,此光栅传感器测量分辨率是( )mm。 A. 1 B. 0.1 C. 0.01 D. 0.001 10. 光栅传感器的光栅是在一块长条形的光学玻璃上密集等间距平行的刻线,刻线数为100线/mm,设记数脉冲为400,光栅位移是( )mm。 A. 1 B. 2 C. 3 D. 4 三、计算题(共 3 道试题,共 20 分。) 1.某线性位移测量仪,当被测位移由4.5mm变到5.0mm时,位移测量仪的输出电压由3.5v减至2.5v,求该仪器的灵敏度为( )V/mm。 解:A.S=y/x=2.5/5.0=0.5 B.S=y/x=3.5/4.5=0.778 C.S=dy/dx=(2.5-3.5)/(5.0-4.5)=-2 D.S=dy/dx=(5.0-4.5)/(3.5-2.5) =0.5 2. 已知某四级齿轮传动系统,各齿轮的转角误差为Δφ1=Δφ2=…=Δφ8=0.004弧度,各级减速比相同,即i1 = i2 = i3= i4 =3,求该系统的最大转角误差Δφmax=( )弧度。 解: A. B. C. 3.刻线为1024的增量式角编码器安装在机床的丝杠转轴上,已知丝杠的螺距为2mm,编码器在10秒内输出307200个脉冲,试求刀架的位移量和丝杠的转速分别是多少? 解:(1)刀架的位移量为( )mm。(5分) A.307200÷1024=300 B.307200÷1024÷2=150 C.307200÷1024×2=600 (2)丝杠的转速转速为( )转/秒。(5分) A.300÷10=30 B.300×10=3000 C.150×10=1500 D.600÷10=60 |
版权声明
声明:有的资源均来自网络转载,版权归原作者所有,如有侵犯到您的权益
请联系本站我们将配合处理!
