0991《机电一体化系统设计基础》_02任务_0002【参考答案】
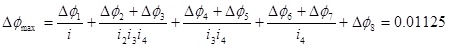
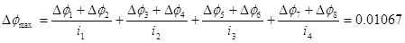
| 一、判断题(共 10 道试题,共 40 分。) 1. 气压式伺服驱动系统常用在定位精度较高的场合使用。( ) A. 错误 B. 正确 2. 步进电机的步距角决定了系统的最小位移,步距角越小,位移的控制精度越低。( ) A. 错误 B. 正确 3. 迟滞是传感器的一种动态误差,是由于在传感器的正反行程中的输出输入特性曲线不重合引起的。( ) A. 错误 B. 正确 4. 选择传感器时,如果测量的目的是进行定性分析,则选用绝对量值精度高的传感器,而不宜选用重复精度高的传感器。( ) A. 错误 B. 正确 5. 直流伺服电动机和永磁同步交流伺服电动机都可以采用PWM控制方式进行调速控制。( ) A. 错误 B. 正确 6. 驱动部分在控制信息作用下提供动力,伺服驱动包括电动、气动、液压等各种类型的驱动装置。( ) A. 错误 B. 正确 7. 传感器的转换元件是指传感器中能直接感受或响应被测量的部分。( ) A. 错误 B. 正确 8. 气压伺服系统的过载能力强,在大功率驱动和高精度定位时性能好,适合于重载的高加减速驱动。( ) A. 错误 B. 正确 9. 永磁型步进电动机即使其定子绕组断电也能保持一定转矩,故具有记忆能力,可用于定位驱动。( ) A. 错误 B. 正确 10. 数字式位移传感器有光栅、磁栅、感应同步器等,它们的共同特点是利用自身的物理特征,制成直线型和圆形结构的位移传感器,输出信号都是脉冲信号,每一个脉冲代表输入的位移当量,通过计数脉冲就可以统计位移的尺寸。( ) A. 错误 B. 正确 二、单项选择题(共 10 道试题,共 40 分。) 1. 步进电动机是通过控制( )决定转向。 A. 脉冲数量 B. 脉冲频率 C. 电机的极对数 D. 电机绕组的通电顺序 2. 以下可对交流伺服电动机进行调速的方法是( )。 A. 改变电压的大小 B. 改变电动机的供电频率 C. 改变电压的相位 D. 改变电动机转子绕组匝数 3. 某种型号的步进电机有A、B、C三对磁极,采用( )的顺序进行循环通电是三相双三拍通电方式。 A. A→B→C B. AB→BC→CA C. A→AB→B→BC→C→CA D. A→ABC→B→ABC→C→ABC 4. 步进电机转动后,其输出转矩随着工作频率增高而( )。 A. 上升 B. 下降 C. 不变 D. 前三种情况都有可能 5. 步进电机在转子齿数不变的条件下,若拍数变成原来的2倍,则步距角为原来的( )。 A. 0.5倍 B. 2倍 C. 0.25倍 D. 不变 6. 某4极交流伺服电动机,电源频率为50Hz,当转差率为0.02时,其转速为( )。 A. 1450r/min B. 1470 r/min C. 735 r/min D. 2940 r/min 7. 检测装置能够对输出进行测量,并转换成比较环节所需要的量纲,一般包括传感器和( )。 A. 控制电路 B. 转换电路 C. 放大电路 D. 逆变电路 8. 采用脉宽调制进行直流电动机调速驱动时,通过改变( )来改变电枢回路的平均电压,从而实现直流电动机的平滑调速。 A. 脉冲的宽度 B. 脉冲的频率 C. 脉冲的正负 D. 其他参数 9. 光栅传感器的光栅是在一块长条形的光学玻璃上密集等间距平行的刻线,刻线数为100线/mm,经四倍细分后,此光栅传感器测量分辨率是( )mm。 A. 2.5 B. 0.25 C. 0.025 D. 0.0025 10. 光栅传感器的光栅是在一块长条形的光学玻璃上密集等间距平行的刻线,刻线数为100线/mm,经四倍细分后,记数脉冲为400,光栅位移是( )mm。 A. 1 B. 2 C. 3 D. 4 三、计算题(共 3 道试题,共 20 分。) 1. 已知某四级齿轮传动系统,各齿轮的转角误差为Δφ1=Δφ2=…=Δφ8=0.004弧度,各级减速比相同,即i1 = i2 = i3= i4 =3,求该系统的最大转角误差Δφmax=( )弧度。 解: A. B. C. 2.某线性位移测量仪,当被测位移由4.5mm变到5.0mm时,位移测量仪的输出电压由3.5v减至2.5v,求该仪器的灵敏度为( )V/mm。 解:A.S=y/x=2.5/5.0=0.5 B.S=y/x=3.5/4.5=0.778 C.S=dy/dx=(2.5-3.5)/(5.0-4.5)=-2 D.S=dy/dx=(5.0-4.5)/(3.5-2.5) =0.5 3.如图所示的电机驱动工作台系统,其中驱动工作台运动的三相六拍步进电机,转子齿数z为40。滚珠丝杠的基本导程为l0=6mm。已知传动系统的横向(x向)脉冲当量δ为0.005mm/脉冲。试求步进电机的步距角α和减速齿轮的传动比i。 ![]() |
版权声明
声明:有的资源均来自网络转载,版权归原作者所有,如有侵犯到您的权益
请联系本站我们将配合处理!

