0991《机电一体化系统设计基础》_02任务_0003【参考答案】
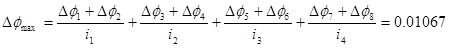
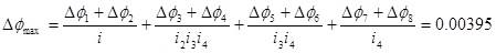
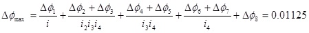
| 一、判断题(共 10 道试题,共 40 分。) 1. 直流伺服电动机的机械特性是电机转速与其控制电压的关系。( ) A. 错误 B. 正确 2. 气压伺服系统的过载能力强,在大功率驱动和高精度定位时性能好,适合于重载的高加减速驱动。( ) A. 错误 B. 正确 3. 步进电机的步距角决定了系统的最小位移,步距角越小,位移的控制精度越低。( ) A. 错误 B. 正确 4. 直流伺服电动机的调速特性是电机转速与其输出转矩的关系。( ) A. 错误 B. 正确 5. 迟滞是传感器的一种动态误差,是由于在传感器的正反行程中的输出输入特性曲线不重合引起的。( ) A. 错误 B. 正确 6. 对直流伺服电动机来说,其机械特性越硬越好。( ) A. 错误 B. 正确 7. 选择传感器时,应选用精度尽可能高的传感器。( ) A. 错误 B. 正确 8. 伺服电机的驱动电路就是将控制信号转换为功率信号,为电机提供电能的控制装置,也称其为变流器,它包括电压、电流、频率、波形和相数的变换。( ) A. 错误 B. 正确 9. 无论采用何种控制方案,系统的控制精度总是高于检测装置的精度。( ) A. 错误 B. 正确 10. 传感器的转换元件是指传感器中能直接感受或响应被测量的部分。( ) A. 错误 B. 正确 二、单项选择题(共 10 道试题,共 40 分。) 1. 某4极交流伺服电动机,电源频率为50Hz,当转差率为0.02时,其转速为( )。 A. 1450r/min B. 1470 r/min C. 735 r/min D. 2940 r/min 2. 下列哪项指标是传感器的动特性( )。 A. 量程 B. 线性度 C. 灵敏度 D. 幅频特性 3. 有一脉冲电源,通过环形分配器将脉冲分配给五相十拍通电的步进电机定子励磁绕组,已知转子有24个齿,步进电机的步距角是( )。 A. 0.6° B. 1.2° C. 1.5° D. 2° 4. 某种型号的步进电机有A、B、C三对磁极,采用( )的顺序进行循环通电是三相双三拍通电方式。 A. A→B→C B. AB→BC→CA C. A→AB→B→BC→C→CA D. A→ABC→B→ABC→C→ABC 5. 在开环控制系统中,常用( )做驱动元件。 A. 直流伺服电动机 B. 步进电动机 C. 同步交流伺服电动机 D. 异步交流伺服电动机 6. 受控变量是机械运动的一种反馈控制系统称( ) 。 A. 顺序控制系统 B. 伺服系统 C. 数控机床 D. 工业机器人 7. 以下可对交流伺服电动机进行调速的方法是( )。 A. 改变电压的大小 B. 改变电动机的供电频率 C. 改变电压的相位 D. 改变电动机转子绕组匝数 8. 采用脉宽调制进行直流电动机调速驱动时,通过改变( )来改变电枢回路的平均电压,从而实现直流电动机的平滑调速。 A. 脉冲的宽度 B. 脉冲的频率 C. 脉冲的正负 D. 其他参数 9. 光栅传感器的光栅是在一块长条形的光学玻璃上密集等间距平行的刻线,刻线数为100线/mm,此光栅传感器测量分辨率是( )mm。 A. 1 B. 0.1 C. 0.01 D. 0.001 10. 光栅传感器的光栅是在一块长条形的光学玻璃上密集等间距平行的刻线,刻线数为100线/mm,设记数脉冲为400,光栅位移是( )mm。 A. 1 B. 2 C. 3 D. 4 三、计算题(共 3 道试题,共 20 分。) 1.某线性位移测量仪,当被测位移由4.5mm变到5.0mm时,位移测量仪的输出电压由3.5v减至2.5v,求该仪器的灵敏度为( )V/mm。 解:A.S=y/x=2.5/5.0=0.5 B.S=y/x=3.5/4.5=0.778 C.S=dy/dx=(2.5-3.5)/(5.0-4.5)=-2 D.S=dy/dx=(5.0-4.5)/(3.5-2.5) =0.5 2. 已知某四级齿轮传动系统,各齿轮的转角误差为Δφ1=Δφ2=…=Δφ8=0.004弧度,各级减速比相同,即i1 = i2 = i3= i4 =3,求该系统的最大转角误差Δφmax=( )弧度。 解: A. B. C. 3.如图所示的电机驱动工作台系统,其中驱动工作台运动的三相六拍步进电机,转子齿数z为40。滚珠丝杠的基本导程为l0=6mm。已知传动系统的横向(x向)脉冲当量δ为0.005mm/脉冲。试求步进电机的步距角α和减速齿轮的传动比i。 ![]() |
版权声明
声明:有的资源均来自网络转载,版权归原作者所有,如有侵犯到您的权益
请联系本站我们将配合处理!

