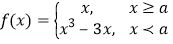
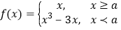
设函数
.
①若
有两个零点,则实数
的取值范围是 ___________;
②若
,则满足
的
的取值范围是 _________________.

①若a=0,则
,
由f(x)=0,可得x=0,x=﹣
,符合题意;
若a<0,x=0符合题意;
若x=﹣
符合题意,则a>﹣
,即为﹣
<a<0;
若a>0,则x=0和x=﹣
符合题意,可得a≤
,
综上可得,a的范围是(﹣
,
];
②若x<a≤﹣2,则x﹣1<a﹣1≤﹣3,
f(x)的导数为3x2﹣3>0,
可得f(x)<f(﹣2)=﹣2,f(x﹣1)<﹣27+9=﹣18,
即有f(x)+f(x﹣1)<﹣30,不符题意;
则x≥a,若x﹣1≥a,f(x)+f(x﹣1)>﹣3,
即为x+x﹣1>﹣3,解得x>﹣1;
若a﹣1≤x﹣1<a,f(x)+f(x﹣1)>﹣3,
即为x+(x﹣1)3﹣3(x﹣1)>﹣3,
化为x3﹣3x2+x+5>0,
由于a≤﹣2,且a≤x<a+1,
可得g(x)=x3﹣3x2+x+5的导数g′(x)=3x2﹣6x+1>0,
即g(x)在[a,a+1)递增,g(a)取得最小值,且为a3﹣3a2+a+5,
且a3﹣3a2+a+5,
而在a≤﹣2时,a3﹣3a2+a+5递增,且为负值,不符题意.
综上可得a的范围是(﹣1,+∞).
故填
,(﹣1,+∞).
版权声明
声明:有的资源均来自网络转载,版权归原作者所有,如有侵犯到您的权益
请联系本站我们将配合处理!
