0991《机电一体化系统设计基础》_02任务_0004【参考答案】
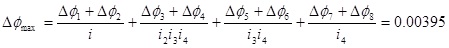
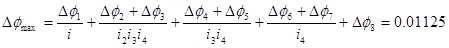
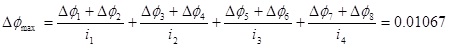
| 一、判断题(共 10 道试题,共 40 分。) 1. 步进电动机的转动惯量越大,同频率下的起动转矩就越大。( ) A. 错误 B. 正确 2. 气压式伺服驱动系统常用在定位精度较高的场合使用。( ) A. 错误 B. 正确 3. 传感器的静态特性是特指输入量为常量时,传感器的输出与输入之间的关系。( ) A. 错误 B. 正确 4. 无论采用何种控制方案,系统的控制精度总是高于检测装置的精度。( ) A. 错误 B. 正确 5. 驱动部分在控制信息作用下提供动力,伺服驱动包括电动、气动、液压等各种类型的驱动装置。( ) A. 错误 B. 正确 6. 气压伺服系统的过载能力强,在大功率驱动和高精度定位时性能好,适合于重载的高加减速驱动。( ) A. 错误 B. 正确 7. 永磁型步进电动机即使其定子绕组断电也能保持一定转矩,故具有记忆能力,可用于定位驱动。( ) A. 错误 B. 正确 8. 通常,步进电机的最高连续工作频率远大于它的最高启动频率。( ) A. 错误 B. 正确 9. 伺服电机的驱动电路就是将控制信号转换为功率信号,为电机提供电能的控制装置,也称其为变流器,它包括电压、电流、频率、波形和相数的变换。( ) A. 错误 B. 正确 10. 直流伺服电动机的机械特性是电机转速与其控制电压的关系。( ) A. 错误 B. 正确 二、单项选择题(共 10 道试题,共 40 分。) 1. 下列哪项指标是传感器的动特性( )。 A. 量程 B. 线性度 C. 灵敏度 D. 幅频特性 2. 受控变量是机械运动的一种反馈控制系统称( ) 。 A. 顺序控制系统 B. 伺服系统 C. 数控机床 D. 工业机器人 3. 步进电机在转子齿数不变的条件下,若拍数变成原来的2倍,则步距角为原来的( )。 A. 0.5倍 B. 2倍 C. 0.25倍 D. 不变 4. 采用脉宽调制进行直流电动机调速驱动时,通过改变( )来改变电枢回路的平均电压,从而实现直流电动机的平滑调速。 A. 脉冲的宽度 B. 脉冲的频率 C. 脉冲的正负 D. 其他参数 5. 以下可对交流伺服电动机进行调速的方法是( )。 A. 改变电压的大小 B. 改变电动机的供电频率 C. 改变电压的相位 D. 改变电动机转子绕组匝数 6. 步进电机转角的精确控制是通过控制输入脉冲的( )来实现的。 A. 频率 B. 数量 C. 步距角 D. 通电顺序 7. 幅频特性和相频特性是模拟式传感器的( )。 A. 静态特性指标 B. 动态特性指标 C. 输入特性参数 D. 输出特性参数 8. 有一脉冲电源,通过环形分配器将脉冲分配给五相十拍通电的步进电机定子励磁绕组,已知转子有24个齿,步进电机的步距角是( )。 A. 0.6° B. 1.2° C. 1.5° D. 2° 9. 光栅传感器的光栅是在一块长条形的光学玻璃上密集等间距平行的刻线,刻线数为100线/mm,经四倍细分后,此光栅传感器测量分辨率是( )mm。 A. 2.5 B. 0.25 C. 0.025 D. 0.0025 10. 光栅传感器的光栅是在一块长条形的光学玻璃上密集等间距平行的刻线,刻线数为100线/mm,设记数脉冲为400,光栅位移是( )mm。 A. 1 B. 2 C. 3 D. 4 三、计算题(共 3 道试题,共 20 分。) 1. 已知某四级齿轮传动系统,各齿轮的转角误差为Δφ1=Δφ2=…=Δφ8=0.004弧度,各级减速比相同,即i1 = i2 = i3= i4 =3,求该系统的最大转角误差Δφmax=( )弧度。 解: A. B. C. 2.某线性位移测量仪,当被测位移由4.5mm变到5.0mm时,位移测量仪的输出电压由3.5v减至2.5v,求该仪器的灵敏度为( )V/mm。 解:A.S=y/x=2.5/5.0=0.5 B.S=y/x=3.5/4.5=0.778 C.S=dy/dx=(2.5-3.5)/(5.0-4.5)=-2 D.S=dy/dx=(5.0-4.5)/(3.5-2.5) =0.5 3.如图所示的电机驱动工作台系统,其中驱动工作台运动的三相六拍步进电机,转子齿数z为40。滚珠丝杠的基本导程为l0=6mm。已知传动系统的横向(x向)脉冲当量δ为0.005mm/脉冲。试求步进电机的步距角α和减速齿轮的传动比i。 ![]() |
版权声明
声明:有的资源均来自网络转载,版权归原作者所有,如有侵犯到您的权益
请联系本站我们将配合处理!

