《孙子算经》是中国古代重要的数学著作,共三卷.卷上叙述了算筹记数的纵横相间制度和筹算乘除法,卷中举例说明筹算分数算法和筹算开平方法,卷下对后世的影响最深,其中卷下记载这样一道经典的问题:“今有雉兔同笼
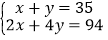
《孙子算经》是中国古代重要的数学著作,共三卷.卷上叙述了算筹记数的纵横相间制度和筹算乘除法,卷中举例说明筹算分数算法和筹算开平方法,卷下对后世的影响最深,其中卷下记载这样一道经典的问题:“今有雉兔同笼,上有三十五头,下有九十四足,问雉兔各几何?”意思是:“鸡和兔关在一个笼子里,从上面看,有35个头;从下面看,有94条脚.问笼中各有多少只鸡和多少只兔?”,设有鸡x只,兔子y只,可列方程组为_____________.
【答案】
根据头数关系和足数关系分别列出方程,再组成方程组.
设有鸡x只,兔子y只,根据从上面看,有35个头;从下面看,有94条脚.可列出
.
故答案为
版权声明
声明:有的资源均来自网络转载,版权归原作者所有,如有侵犯到您的权益
请联系本站我们将配合处理!
