一组数据中的每一个数据都乘以2,再减去80,得到一组新数据,若求得新数据的平均数是1.2,方差是4.4,则原来数据的平均数和方差分别是
一组数据中的每一个数据都乘以2,再减去80,得到一组新数据,若求得新数据的平均数是1.2,方差是4.4,则原来数据的平均数和方差分别是
A. 40.6,1.1
B. 48.8,4.4
C. 81.2,44.4
D. 78.8,75.6
【答案】A
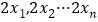
【解析】设原来的一组数据是
,
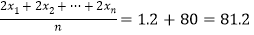
∵每一个数据乘以2,再都减去80 得到新数据且求得新数据的平均数是1.2,方差是4.4,

∴

又∵数据都减去同一个数,没有改变数据的离散程度,
∴
的方差为:4.4,
从而原来数据
的方差为:12 2×4.4=1.1
版权声明
声明:有的资源均来自网络转载,版权归原作者所有,如有侵犯到您的权益
请联系本站我们将配合处理!
